Più la femmina di capriolo è pesante, più alto è il numero di feti, così come è più alto nelle adulte rispetto alle subadulte. Il tasso di gravidanza è inoltre influenzato anche dalla temperatura primaverile. E il prelievo deve essere contenuto entro certi limiti ben definiti. Lo mette in evidenza uno studio svolto in provincia di Parma.
Ci sono dei fattori che influenzano il tasso di gravidanza e il numero di feti per femmina di capriolo. E, una volta studiati, si può simulare l’andamento futuro di questa popolazione. È quanto emerge da “Structure and productivity of a population of roe deer in a highly fragmented hilly environment” di Andrea Bricola, Alberto Meriggi e Francesca Meriggi che hanno studiato la popolazione di capriolo nell’Atc Parma 4, negli ultimi anni colpita da cali demografici.
Gli autori della ricerca hanno voluto analizzare quali fossero i fattori che influenzano il tasso di gravidanza e il numero di feti per femmina e simulare poi l’andamento futuro di questa popolazione. Per fare ciò hanno utilizzato i dati biometrici – peso, classe d’età, sesso e numero di feti per femmina – raccolti durante tre stagioni di caccia consecutive (2014-2017) e diverse variabili climatiche, tra cui la media delle temperature giornaliere medie, massime e minime e le precipitazioni, ognuna calcolata sia annualmente sia stagionalmente.
I tre distretti di caccia in cui l’Atc è diviso sono stati inseriti tra le variabili ambientali: in provincia di Parma l’ambiente è collinare e altamente frammentato.
I censimenti annui invernali hanno mostrato un forte calo demografico in tutta l’area: da 3.477 caprioli nel 2014 a 1.794 nel 2017. Questo andamento è confermato anche dal tasso di prelievo venatorio che passa dal 9,7% al 7,2%.
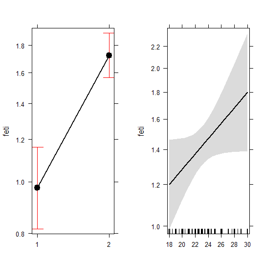
I dati biometrici raccolti da 409 femmine abbattute in età riproduttiva, di cui il 91,6% gravide, mostrano un numero medio di feti per femmina pari 1,44. I modelli analizzati indicano la presenza di una correlazione positiva con l’età e la massa corporea: più la femmina è pesante, più alto è il numero di feti, così come è più alto nelle adulte rispetto alle subadulte. Questo risultato è concorde con i dati della letteratura, sia per quanto riguarda il numero medio di feti (1,13 – 2,3) sia per le variabili che lo influenzano.
Il tasso di gravidanza risulta influenzato non solo, positivamente, dal peso corporeo, ma anche, negativamente, dalla temperatura primaverile media: diminuisce all’aumentare della temperatura.
Attenzione al prelievo
La population viability analysis è un metodo specie-specifico di valutazione del rischio frequentemente utilizzato in biologia della conservazione. In particolare, calcola la probabilità di una popolazione di estinguersi in un determinato numero di anni. In questo caso, sono state effettuate una serie di simulazioni su un periodo di 30 anni con diversi tassi di prelievo. Anche in questo caso i risultati rispecchiano ciò che emerge dalla letteratura: la popolazione non sopporta un tasso di prelievo superiore al 10%, la probabilità di estinzione sarebbe troppo elevata. Nel periodo studiato l’Atc di Parma aveva fissato il prelievo al 20%: ciò questo avrebbe ridotto la probabilità di sopravvivenza a meno del 5%.
In nessuno dei tre distretti è stato raggiunto l’obbiettivo prestabilito, proprio per la mancanza di selvatici dovuta a un eccessivo sfruttamento della popolazione negli anni precedenti. L’effettivo tasso di prelievo realizzato è stato pari all’8,35%, sostenibile secondo i modelli perché determina un tasso di estinzione del 14%.
In ultima analisi quindi i fattori più importanti nel determinare il potenziale riproduttivo delle femmine sono le qualità fenotipiche peso e classe d’età: le femmine adulte più pesanti hanno un potenziale maggiore rispetto a quelle più leggere e più giovani. I dati raccolti su numero di feti e tasso di fecondità indicherebbero inoltre che la popolazione in oggetto sarebbe in crescita, mentre i censimenti indicano un forte calo demografico: la spiegazione va ricercata proprio nell’elevato piano di prelievo venatorio che, nonostante che non venga realmente realizzato, è comunque superiore a quanto previsto da Ispra.
Le linee guida per la gestione degli ungulati, i cui pareri sono vincolanti in Emilia-Romagna, prevedono infatti un prelievo pari a 0 in popolazione con densità inferiori a 10 selvatici per 100 ettari in ambienti collinari: la densità della popolazione studiata è di soli 4,31 caprioli per 0100 ettari. Se non fossero effettuati i prelievi venatori, la popolazione crescerebbe fino alla capacità di carico dell’ambiente.
Bibliografia
– Danilkin A., Hewison A.J.M. (1996), Behavioral ecology of Siberian and European roe deer,.Chapman and Hall, London
– Ispra (2013), Linee guida per la gestione
















